banner

Filter by

Electrochemical stability analysis of red phosphorus-based anode for lithium-ion batteries

Red phosphorus and sulfurized polyacrylonitrile (RP-SPAN) composite has recently shown promising results as an anode material in lithium-ion battery applications. However, the stability analysis of its dynamic response has not been investigated yet. In this study we use the transfer function stability analysis, the Kramers-Kronig (KK) integral relations, and the differential capacity analysis to

Circuit Theory and Applications

Energy Harvesting Schemes for Wearable Devices

For the specifications of Wireless Body Area Networks (WBANs), eHealth systems, and wearable devices, batteries are not desirable. They maximize the sensor nodes’ size and need to be replaced every few years through human interference. Energy harvesting is now being studied as the primary source of electricity for wearable devices. Several initiatives have succeeded in using energy harvesting to

Circuit Theory and Applications

Simple implementations of fractional-order driving-point impedances: Application to biological tissue models

A novel procedure for the circuit implementation of the driving-point impedance of frequency-domain material models, constructed from fractional-order elements of arbitrary type and order, is introduced in this work. Following this newly introduced concept, instead of emulating separately each fractional-order element in the model under consideration, the direct emulation of the complete model can

Healthcare
Circuit Theory and Applications

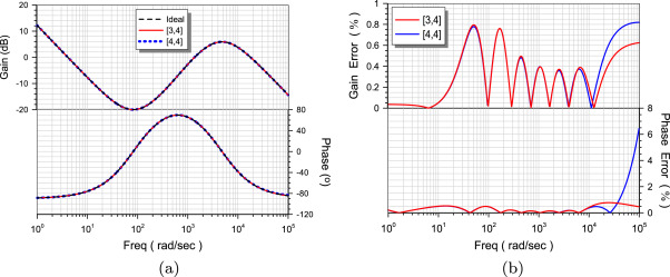
Power-law compensator design for plants with uncertainties: Experimental verification

A power-law compensator scheme for achieving robust frequency compensation in control systems including plants with an uncertain pole, is introduced in this work. This is achieved through an appropriate selection of the compensator parameters, which guarantee that the Nyquist diagram of the open-loop system compensator-plant crosses a fixed point independent of the plant pole variations. The

Circuit Theory and Applications

Two-dimensional steady-state analysis of selected wastewater state variables using asm3

Performance of activated sludge wastewater treatment plants are mainly dependent on bacterial growth, which is limited by many factors. These factors include availability of suitable substrate, limiting nutrients, environmental conditions, and energy. In activated sludge model no. 3 (ASM3), constituents in wastewater are divided into two main categories: carbonaceous compounds and nitrogenous

Circuit Theory and Applications

Extending the double-dispersion Cole–Cole, Cole–Davidson and Havriliak–Negami electrochemical impedance spectroscopy models

Double-dispersion impedance models are important for the accurate fitting of spectral impedance measurements in Electrical Impedance Spectroscopy (EIS). While the Cole–Cole model is the most widely known, it is possible to define double-dispersion Cole–Davidson and Havriliak–Negami models as well. In this work, we show that more freedom can be exercised when these three models are combined

Circuit Theory and Applications
Agriculture and Crops

Experimental investigation of innovative active packaging biofilms using electrical impedance spectroscopy

This work explores a novel simple technique to investigate the shelf life of fruit using Electrical Impedance Spectroscopy (EIS). EIS is a non-destructive analysis that focuses on studying the electrical impedance variations during ripening of fruit. The purpose of this study is the use of a biodegradable natural plastic packaging for extending fruit and vegetable shelf life. Polyethylene
Circuit Theory and Applications
Agriculture and Crops

Stochastic modeling of mushroom—waveguide photodetectors

Waveguide photodetectors (WGPDs) are one of the promising candidates to solve the tradeoff between the quantum efficiency and the transit time in the surface illuminated photodiodes where the lightwave is incident laterally perpendicular to the direction of the flow of generated carriers, enhancing both high speed and quantum efficiency. In Mushroom-WGPDs, the performance degradation due its

Circuit Theory and Applications
Innovation, Entrepreneurship and Competitiveness

Trajectory control and image encryption using affine transformation of lorenz system

This paper presents a generalization of chaotic systems using two-dimensional affine transformations with six introduced parameters to achieve scaling, reflection, rotation, translation and/or shearing. Hence, the location of the strange attractor in space can be controlled without changing its chaotic dynamics. In addition, the embedded parameters enhance the randomness and sensitivity of the

Circuit Theory and Applications
Software and Communications
Innovation, Entrepreneurship and Competitiveness

Realizations of fractional-order PID loop-shaping controller for mechatronic applications

A novel procedure for the realization of a fractional-order PID loop-shaping controller, suitable for precision control of mechatronic systems, is introduced in this work. Exploiting appropriate tools, the controller function is approximated as a whole, leading to a simple form of integer-order approximation, when compared to the case where each intermediate part of the PID transfer function is

Circuit Theory and Applications